Proyecto extraordinario
2ª Oportunidad
Cálculo diferencial
Examinar las fórmulas de los límites con el fin de brindar soluciones a problemáticas expuestas.
Realiza cada una de las fases y el vídeo de presentación.
Puedes acceder a ellas dando clic sobre el icono ✚
Después, guarda tu actividad en un documento de Power Point y sigue la siguiente estructura y recomendaciones para su entrega:
• Portada institucional
• Desarrollo (fases)
• Liga del vídeo
• Referencias en formato APA 7
Apégate al formato
de entrega de actividades.
Guardarás tu proyecto con la siguiente nomenclatura:
Proyecto (nombre de la materia) – Nombre y apellido del alumno- Oportunidad- Nivel de estudios
Ejemplo:
Cálculo diferencial – Dariö Zven– 2a Oportunidad – Ingeniería
Nota: Es obligatorio
colocar en la referencia la URL de la página o PDF de donde obtienes la información para la realización de tu actividad, ya que se verificarán los enlaces. Si obtienes la información de algún libro, e-book, revista, etc., es necesario colocar una fotografía adicional en la sección de referencias para su validación.
Indeterminación en los límites 
• Revisa el tema 6 del contenido de tu curso antes de iniciar esta fase.
• En las dispositivas que creas necesarias plasma de manera clara el tema: formas de resolución de límites cuándo brindan una solución indeterminada, agrega:
• Casos en los que ocurre.
• Método de resolución.
• Ejemplo de resolución con desarrollado con ayuda del editor de ecuaciones.
Nota: Complementa la información del contenido de tu curso con información de algún libro de la biblioteca virtual de la Universidad. Incluye imágenes que acompañen a la información plasmada, sé breve, no satures de texto solamente; recuerda respetar la normativa APA 7 sobre la inclusión de figuras.
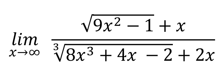
Resolviendo un límite indeterminado 
De acuerdo con lo investigado en la fase anterior, en tu cuaderno (de manera obligatoria), resuelve el siguiente límite paso a paso:
En las dispositivas que creas necesarias anexa las fotografías de tu resolución de manera clara y legible.
Nota: La omisión de pasos restarán puntos a la fase aún y cuándo el resultado sea correcto. Recuerda respetar la normativa APA 7 sobre la inclusión de figuras.
Interpretación gráfica 
• Visualiza el siguiente vídeo
antes de iniciar esta fase: Límites en GeoGebra
• Ingresa a GeoGebra desde tu ordenador.
• Ingresa la función dada en la fase anterior y calcula su límite.
• Con la representación gráfica de la función que acabas de expresar, anota en una diapositiva lo siguiente:
• El resultado del límite fue el mismo que el que calculaste en la fase anterior.
• Si la «x» tiende a cualquier valor, lo pudieras medianamente aproximar.
• Qué ocurre cuándo el infinito es negativo.
• Anexa en una dispositiva la captura de tu construcción gráfica realizada en GeoGebra, así como su URL para su visualización.
Nota: Recuerda respetar la normativa APA 7 sobre la inclusión de figuras.
Exponiendo soluciones 
Elabora una video presentación
de manera formal, donde menciones brevemente que te pareció la actividad, que te gusto, que no y que se puede mejorar.
Adicionalmente harás lo siguiente:
Proyectarás tu construcción realizada en GeoGebra y en tiempo real darás respuesta a los siguientes puntos solo apoyándote de la construcción gráfica.
• Muestra de forma gráfica (no numérica) la solución del límite.
• Muestra de manera aproximada el valor del límite cuándo la «x» tiende a 0.4
• Justifica de forma gráfica si la función presenta un máximo o un mínimo relativo.
Recuerda; el video debe cumplir con los siguientes requisitos:
• Aparecer en el video.
• Mencionar brevemente el nombre completo, matrícula, materia y oportunidad.
• Portar vestimenta formal.
• Utilizar un lenguaje adecuado y cuidar que la dicción sea clara y pausada.
• El audio debe ser claro, volumen adecuado y sin interrupciones auditivas.
• Claridad de imagen, bien definida y luz suficiente.
• Duración de 4 minutos.
Nota: Al finalizar, se deberá añadir el enlace en el documento.
Para elaborar el video puedes hacer uso de aplicaciones para video presentaciones y screen recorder, a través de PC o dispositivos móviles.
• Bandicam


