Proyecto extraordinario
2ª Oportunidad
Cálculo Integral
Discernir entre fórmulas de ciertas integrales para brindar una solución justificada a ejercicios en particular.
Realiza cada una de las fases y el vídeo de presentación.
Puedes acceder a ellas dando clic sobre el icono ✚
Después, guarda tu actividad en un documento de Power Point y sigue la siguiente estructura y recomendaciones para su entrega:
• Portada institucional
• Desarrollo (fases)
• Liga del vídeo
• Referencias en formato APA 7
Apégate al formato
de entrega de actividades.
Guardarás tu proyecto con la siguiente nomenclatura:
Proyecto (nombre de la materia) – Nombre y apellido del alumno- Oportunidad- Nivel de estudios
Ejemplo:
Cálculo Integral – Dariö Zven– 2a Oportunidad – Ingeniería
Nota: Es obligatorio
colocar en la referencia la URL de la página o PDF de donde obtienes la información para la realización de tu actividad, ya que se verificarán los enlaces. Si obtienes la información de algún libro, e-book, revista, etc., es necesario colocar una fotografía adicional en la sección de referencias para su validación.
Técnicas de integración 
• Revisa las clases sugeridas de tu curso antes de iniciar estas fases.
• Realiza una investigación sobre los siguientes métodos de integración:
• Integración por partes.
• Integración trigonométrica.
• Integración por cambio de variable.
• Anexa en las diapositivas que tú creas necesarias los siguientes puntos con base a tu investigación realizada y a cada uno de los tipos de integración solicitados.
• Nombre de la técnica.
• ¿A quien se le atribuye?.
• ¿En que consiste?
• ¿En que se aplica?
Nota: Ingresarás por cada una de las técnicas de integración, 2 citas textuales cortas en formato APA 7 y su respectiva referencia al final del documento con su URL de consulta. Incluye imágenes que acompañen a la información plasmada, sé breve, no satures de texto solamente; recuerda respetar la normativa APA 7 sobre la inclusión de figuras.
Resumiendo la información 
• Crea una infografía visual, atractiva y clara en cualquier software de tu elección que sintetice toda la información que redactaste en la fase anterior.
• Anexa en una dispositiva la URL o imagen de tu infografía realizada.
Nota: Respeta las características de esta técnica de aprendizaje. Recuerda que la infografía debe ser principalmente visual, con poco texto y gráficos claros. Respeta la normativa APA 7 sobre la inclusión de figuras
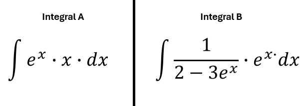
Resolviendo ejercicios 
• Una vez que ya has comprendido los métodos de integración, es hora de poner en práctica tus conocimientos adquiridos, para ello, resolverás en tu cuaderno estas dos integrales de manera clara, con todos los pasos y sin omisiones de estos.
• Anexa en las dispositivas que consideres necesarias las imágenes de tu procedimiento.
Nota: Respeta la normativa APA 7 sobre la inclusión de figuras, la omisión de pasos descontará puntos a esta fase.
Indicaciones generales
Elabora una video presentación
de manera formal, donde expliques uno de los dos ejercicios que desarrollaste en la fase tres; aquí, explicarás también los siguientes puntos:
• ¿Cuál es la técnica que utilizaste?
• ¿Por qué esta técnica? Justifica tu respuesta.
Recuerda; el video debe cumplir con los siguientes requisitos:
• Aparecer en el video.
• Mencionar brevemente el nombre completo, matrícula, materia y oportunidad.
• Portar vestimenta formal.
• Utilizar un lenguaje adecuado y cuidar que la dicción sea clara y pausada.
• El audio debe ser claro, volumen adecuado y sin interrupciones auditivas.
• Claridad de imagen, bien definida y luz suficiente.
• Duración de 4 minutos.
Nota: Al finalizar, se deberá añadir el enlace en el documento.
Para elaborar el video puedes hacer uso de aplicaciones para video presentaciones y screen recorder, a través de PC o dispositivos móviles.
• Bandicam


