Proyecto extraordinario
4ª Oportunidad
Cálculo integral
Establecer los diferentes métodos para obtener el área bajo una curva y resolver funciones dadas con coordenadas polares o cartesianas.
Realiza cada una de las fases y el vídeo de presentación.
Puedes acceder a ellas dando clic sobre el icono ✚
Después, guarda tu actividad en un documento de Power Point y sigue la siguiente estructura y recomendaciones para su entrega:
• Portada institucional
• Desarrollo (fases)
• Liga del vídeo
• Referencias en formato APA 7
Apégate al formato
de entrega de actividades.
Guardarás tu proyecto con la siguiente nomenclatura:
Proyecto (nombre de la materia) – Nombre y apellido del alumno- Oportunidad- Nivel de estudios
Ejemplo:
Cálculo integral – Dariö Zven– 4a Oportunidad – Ingeniería
Nota: Es obligatorio
colocar en la referencia la URL de la página o PDF de donde obtienes la información para la realización de tu actividad, ya que se verificarán los enlaces. Si obtienes la información de algún libro, e-book, revista, etc., es necesario colocar una fotografía adicional en la sección de referencias para su validación.
El ejercicio que lo cambió todo 
La clase de cálculo de integrales definidas había comenzado con una familiaridad reconfortante; el profesor recitaba: – El área del cuadrado es lado por lado, la del triángulo base por altura sobre dos, y la del círculo, pi por radio al cuadrado.
El profesor había paseado por las figuras geométricas básicas como un guía turístico por un museo bien conocido. La pizarra se llenaba de fórmulas que habías memorizado desde la escuela secundaria, inclusive desde antes; todo iba bien… demasiado bien.
Entonces, ocurrió un giro inesperado, el profesor, con una sonrisa enigmática, dibujó en la pizarra lo siguiente:
Los trazos del marcador crearon un corazón perfecto que empezaba y terminada en el origen del plano cartesiano; – ¿Y ahora? – preguntó el profesor, su voz resonando en el silencio expectante del aula. – ¿El área que está dentro del corazón, se puede calcular?
Un murmullo se extendió. Algunos alumnos, más arriesgados, gritaron ¡Sí!. Otros, con la cautela de quienes no quieren equivocarse, susurraron – No lo creo -.
Tú, te sentiste en el segundo grupo. ¿Cómo se calculaba eso? No era un cuadrado, ni un trapecio o un triángulo. Sus lados no eran rectos, ni su curva perfecta como un circulo. Era un dibujo de un corazón en la pizarra, aparentemente incalculable.
El profesor, satisfecho con la confusión, sonrió de nuevo. Mencionando – Esa es la tarea que harán esta semana, quiero que me traigan el cálculo de esa área.
A lo largo de estas tres fases, desarrollarás el ejercicio que te dejó el profesor apegándote a las instrucciones dadas a lo largo de este proyecto extraordinario.
¡Te deseo mucho éxito!
La integral definida 
• Revisa las clases sugeridas de tu curso antes de iniciar esta fase.
• Crea un diagrama de flujo en Miro o Lucidchart que ejemplifique la resolución de una integral definida de manera completa y con el uso adecuado de la simbología.
• Anexa en una dispositiva el URL que permita acceder a tu diagrama de flujo creado.
Nota: Si anexas una imagen respeta la normativa APA 7 sobre la inclusión de figuras.
Resolviendo el ejercicio 
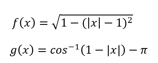
• Basándote en la tarea que te dejó el profesor descrito en la sección de contexto y con base a estas dos funciones que definen la figura del corazón:
plantea la integral definida con ayuda del editor de ecuaciones que permita calcular el área bajo la curva de las dos funciones.
• Una vez establecida dicha integral, ingresa a la siguiente calculadora de integrales definidas: Calculadora de integrales con pasos.
• Ingresa dichas funciones, sus limites de integración y muestra el área solicitada.
Tu respuesta para esta fase debe incluir:
- Integral definida con sus respectivos límites de integración de manera correcta.
- Planteamiento de la integral definida.
- Cálculo del área de la figura.
- Capturas de pantalla o vídeo (de preferencia) del cálculo de dichas áreas.
• Anexa en las dispositivas necesarias las capturas de pantalla/vídeo de lo solicitado.
Nota: Deberás de respetar la normativa APA 7 sobre la inclusión de figuras.
Validando el resultado 
• Antes de iniciar esta fase, visualiza el siguiente vídeo
: Calcular la área entre dos funciones usando Geogebra.
• Ingresa a GeoGebra y representa las funciones y el área del corazón de manera clara y formal.
• Anexa en una dispositiva la captura de pantalla o URL para visualizar tu construcción.
Nota: Deberás de respetar la normativa APA 7 sobre la inclusión de figuras. Puedes usar otro software si así lo deseas.
Indicaciones generales
Elabora una video presentación
de manera formal, donde expreses, ¿qué te pareció esta actividad?, ¿qué te gustó?, ¿que no te gustó?, ¿qué se puede mejorar? y que nuevo aprendizaje adquiriste mediante la realización del proyecto (menos de un minuto).
Así mismo, da respuesta a estos puntos de forma breve:
• ¿Usaste la simetría respecto al eje «x» para poder calcular el área del corazón o cómo lo calculaste?
• ¿Cómo estableciste las funciones en GeoGebra y sus respectivos límites para poder calcular el área del corazón?
Recuerda; el video debe cumplir con los siguientes requisitos:
• Aparecer en el video.
• Mencionar brevemente el nombre completo, matrícula, materia y oportunidad.
• Portar vestimenta formal.
• Utilizar un lenguaje adecuado y cuidar que la dicción sea clara y pausada.
• El audio debe ser claro, volumen adecuado y sin interrupciones auditivas.
• Claridad de imagen, bien definida y luz suficiente.
• Duración de 4 minutos.
Nota: Al finalizar, se deberá añadir el enlace en el documento.
Para elaborar el video puedes hacer uso de aplicaciones para video presentaciones y screen recorder, a través de PC o dispositivos móviles.
• Bandicam


