Proyecto extraordinario
4ª Oportunidad
Ecuaciones diferenciales
Aplicar el método de transformada inversa de Laplace para resolver ecuaciones diferenciales y representarlas de forma gráfica.
Realiza cada una de las fases y el vídeo de presentación.
Puedes acceder a ellas dando clic sobre el icono ✚
Después, guarda tu actividad en un documento de Word y sigue la siguiente estructura y recomendaciones para su entrega:
• Portada institucional
• Desarrollo (fases)
• Liga del vídeo
• Referencias en formato APA 7
Apégate al formato
de entrega de actividades.
Guardarás tu proyecto con la siguiente nomenclatura:
Proyecto (nombre de la materia) – Nombre y apellido del alumno- Oportunidad- Nivel de estudios
Ejemplo:
Ecuaciones diferenciales – Dariö Zven– 4a Oportunidad – Ingeniería
Nota: Es obligatorio
colocar en la referencia la URL de la página o PDF de donde obtienes la información para la realización de tu actividad, ya que se verificarán los enlaces. Si obtienes la información de algún libro, e-book, revista, etc., es necesario colocar una fotografía adicional en la sección de referencias para su validación.
EDO de segundo orden
• Antes de empezar con el desarrollo de esta fase, revisa los temas sugeridos sobre la transformada de Laplace y su inversa.
• Descarga este material que te servirá a lo largo de estas fases de elaboración: Material de apoyo
Analiza
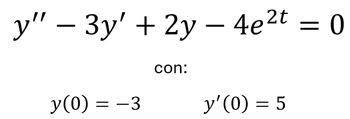
Tenemos una ecuación diferencial ordinaria de segundo orden, la cual está expresada de la siguiente forma con sus respectivas condiciones iniciales.
• Aplica la transformada de Laplace a la EDO de segundo orden hasta llegar a su solución.
Pista: La solución te deberá de quedar de la siguiente forma: Da clic para ver la pista depende de tí calcular los datos faltantes y recalcular si algo no cuadra con tu solución.
Transformada inversa de Laplace 
• Aplica la transformada inversa de Laplace en tu cuaderno o en Word de manera ordenada, clara y legible a la expresión obtenida en la fase anterior para encontrar el resultado de 𝑦(𝑠); recuerda llamar a 𝑦(𝑠) con la notación de ℒ ^-1
Pista: Deberás de expresar en términos de fracciones parciales para su resolución. Ver pista 2
Representación gráfica
• Visualiza el siguiente vídeo
: Ecuaciones diferenciales en Geogebra
• Representa en GeoGebra la solución de la EDO de segundo orden con t > 0.
• Anexa en tu documento de Word la imagen de la gráfica generada y su respectivo URL para poder corroborar su desarrollo; recuerda respetar la normativa APA 7 en relación a la inclusión de figuras.
Pista: Te deberá de quedar la representación gráfica de la siguiente forma: Representación.
Indicaciones generales
Elabora una video presentación
de manera formal, donde expreses, ¿qué te pareció esta actividad?, ¿qué te gustó?, ¿que no te gustó?, ¿qué se puede mejorar? y que nuevo aprendizaje adquiriste mediante la realización del proyecto (menos de un minuto).
Así mismo, desarrolla los siguientes puntos:
• Explica tu gráfica, ¿Qué puedes deducir de ella
• ¿Para que te sirve conocer el desarrollo de las EDO de segundo orden en campos de la Ingeniería?
• Menciona dos aplicaciones reales de las EDO de segundo orden.
Recuerda; el video debe cumplir con los siguientes requisitos:
• Aparecer en el video.
• Mencionar brevemente el nombre completo, matrícula, materia y oportunidad.
• Portar vestimenta formal.
• Utilizar un lenguaje adecuado y cuidar que la dicción sea clara y pausada.
• El audio debe ser claro, volumen adecuado y sin interrupciones auditivas.
• Claridad de imagen, bien definida y luz suficiente.
• Duración de 4 minutos.
Nota: Al finalizar, se deberá añadir el enlace en el documento.
Para elaborar el video puedes hacer uso de aplicaciones para video presentaciones y screen recorder, a través de PC o dispositivos móviles.
• Bandicam

