Proyecto extraordinario
3ª Oportunidad
Álgebra lineal
Determinar que método de un sistema de ecuaciones n x n es más efectivo para la toma de decisiones según diversos campos de aplicación.
Realiza cada una de las fases y el vídeo de presentación.
Puedes acceder a ellas dando clic sobre el icono ✚
Después, guarda tu actividad en un documento de Power Point y sigue la siguiente estructura y recomendaciones para su entrega:
• Portada institucional
• Desarrollo (fases)
• Liga del vídeo
• Referencias en formato APA 7
Apégate al formato
de entrega de actividades y ajústalo a tu entrega.
Guardarás tu proyecto con la siguiente nomenclatura:
Proyecto (nombre de la materia) – Nombre y apellido del alumno- Oportunidad- Nivel de estudios
Ejemplo:
Álgebra lineal – Dariö Zven– 3a Oportunidad – Ingeniería
Nota: Es obligatorio
colocar en la referencia la URL de la página o PDF de donde obtienes la información para la realización de tu actividad, ya que se verificarán los enlaces. Si obtienes la información de algún libro, e-book, revista, etc., es necesario colocar una fotografía adicional en la sección de referencias para su validación.
Método de Gauss
Gauss-Jordan
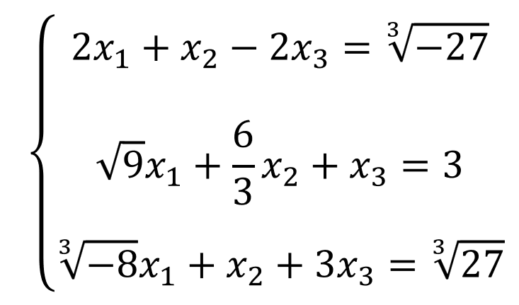
• Revisa el módulo 1 y realiza lo que se te indica.
• Realiza el siguiente ejercicio por método de Gauss y Gauss-Jordan.
Nota: Puedes hacer el ejercicio en tu libreta, con algún software e inclusive con ayuda de la IA
; el objetivo y fin de esta fase es que visualices las características particulares de los métodos solicitados. Personalmente te recomiendo que lo hagas en tu cuaderno y anexes las imágenes, pero todo es a tu libre decisión.
Otros métodos
• Realiza una breve investigación y anexa en tu presentación si existen otras formas de resolver sistemas de ecuaciones de dimensiones n x n, descríbelos de forma concisa.
• Revisa el siguiente escrito: Métodos numéricos, en especial el punto 1.3. Método de Montate.
• En tu cuaderno, plasma el sistema de ecuaciones de la fase anterior y resuélvelo utilizando dicho método. Puedes agregar notas dentro de tu presentación para dar sustento a tu resolución.
• Anexa en las diapositivas necesarias las fotografías de tu sistema y su resolución de forma clara y completa sin omitir pasos.
Nota: Respeta la normativa APA 7 sobre la inclusión de figuras. Si no se respeta se descontarán puntos a la entrega.
Contraste de los métodos
• Realiza un contraste completo en un cuadro de doble entrada de al menos 5 características (positivas y negativas) sobre cada uno de los métodos en relación a su uso en la resolución de ecuaciones (Gauss, Gauss-Jordan, Montate)
• Anexa en una diapositiva el cuadro solicitado en formato de tabla.
Nota: Respeta la normativa APA 7 sobre la inclusión de tablas. Si no se respeta se descontarán puntos a la entrega.
Indicaciones generales
Elabora una video presentación
de manera formal, donde expreses, ¿qué te pareció esta actividad?, ¿qué te gustó?, ¿que no te gustó?, ¿qué se puede mejorar? y que nuevo aprendizaje adquiriste mediante la realización del proyecto (menos de un minuto).
Así mismo, da respuesta a estos puntos de forma breve:
• ¿Cuál método de los tres que realizaste te pareció más fácil de implementar?
• ¿Qué te pareció el método de Montate? ¿lo conocías anteriormente?
• Dentro de tu carrera, ¿crees que alguna vez aplicarías dichos métodos? ¿en que casos?
Recuerda; el video debe cumplir con los siguientes requisitos:
• Aparecer en el video.
• Mencionar brevemente el nombre completo, matrícula, materia y oportunidad.
• Portar vestimenta formal.
• Utilizar un lenguaje adecuado y cuidar que la dicción sea clara y pausada.
• El audio debe ser claro, volumen adecuado y sin interrupciones auditivas.
• Claridad de imagen, bien definida y luz suficiente.
• Duración de 4 minutos.
Nota: Al finalizar, se deberá añadir el enlace en el documento.
Para elaborar el video puedes hacer uso de aplicaciones para video presentaciones y screen recorder, a través de PC o dispositivos móviles.
• Bandicam


