Proyecto extraordinario
3ª Oportunidad
Cálculo diferencial
Analizar las derivadas y sus operaciones básicas para su comprensión y dominio teórico-práctico.
Realiza cada una de las fases y el vídeo de presentación.
Puedes acceder a ellas dando clic sobre el icono ✚
Después, guarda tu actividad en un documento de Word y sigue la siguiente estructura y recomendaciones para su entrega:
• Portada institucional
• Desarrollo (fases)
• Liga del vídeo
• Referencias en formato APA 7
Apégate al formato
de entrega de actividades.
Guardarás tu proyecto con la siguiente nomenclatura:
Proyecto (nombre de la materia) – Nombre y apellido del alumno- Oportunidad- Nivel de estudios
Ejemplo:
Cálculo diferencial – Dariö Zven– 3a Oportunidad – Ingeniería
Nota: Es obligatorio
colocar en la referencia la URL de la página o PDF de donde obtienes la información para la realización de tu actividad, ya que se verificarán los enlaces. Si obtienes la información de algún libro, e-book, revista, etc., es necesario colocar una fotografía adicional en la sección de referencias para su validación.
Derivadas 
• Revisa las clases del módulo sugerido
del contenido de tu curso antes de empezar el desarrollo de estas tres fases; complementa la información de fuentes confiables de la web y brinda crédito correctamente.
• Para conocer un poco más sobre las derivadas diseña una presentación donde abordes cada uno de los siguientes temas:
• Interpretación geométrica de la derivada
• Regla de los cuatro pasos
• Fórmulas para determinar una derivada de una función algebraica
• Derivadas de orden superior
Para su elaboración se sugiere utilizar Genially y al finalizar deberás anexar el enlace en el apartado correspondiente.
Nota: Agrega ilustraciones que den sustento al contenido plasmado en tu presentación, no la satures de texto; ten en cuenta respetar la normativa APA 7 respecto a la inclusión de figuras y darle crédito a fuentes externas consultadas, de lo contrario se descontará puntaje a la calificación de esta fase.
Aplicaciones de las derivadas 
• De la siguiente lista
de estrategias de aprendizaje elige alguna que sea del tipo gráfico y que además te ayude a entender y dar a explicar de manera simple las siguientes interrogantes:
• ¿Cómo se pueden aplicar las derivadas en la vida cotidiana/laboral?
• Ejemplifica una situación del uso de la derivada en la vida cotidiana/laboral.
• Anexa en una cuartilla el resultado de la estrategia seleccionada y nómbrala como el titulo de la fase; en 5 líneas menciona el por qué de su elección.
Nota: Agrega ilustraciones que den sustento al contenido plasmado en tu estrategia seleccionada, no la satures de texto; ten en cuenta respetar la normativa APA 7 respecto a la inclusión de figuras y darle crédito a fuentes externas consultadas, de lo contrario se descontará puntaje a la calificación de esta fase.
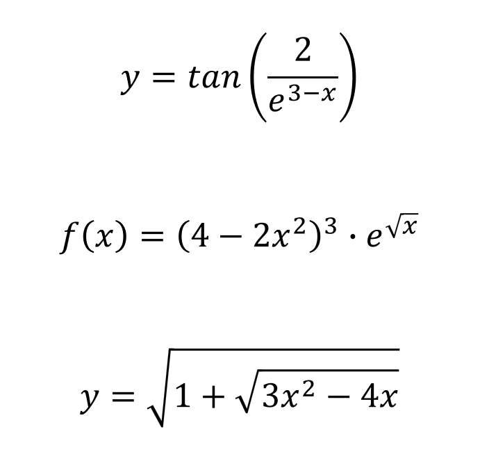
Las derivadas y sus operaciones básicas 
• Realiza las siguientes tres derivadas en tu cuaderno; incluye el paso a paso y no omitas ninguno de ellos por más obvio que sea.
• Anexa en tu documento de Word las fotografías de tus ejercicios de manera clara (legible), con coherencia, limpia, ordenada y mencionando el método o la regla/operación utilizada.
Nota: Recuerda respetar la normativa APA 7 respecto a la inclusión de figuras, de lo contrario se descontará puntaje a la calificación de esta fase.
Indicaciones generales
Elige uno de los tres ejercicios de la fase anterior y elabora una video presentación
en dónde lo expliques simulando que lo harías a alguien que no posea conocimientos previos sobre el tema pero lo quiere aprender. Puedes apoyarte de cualquier recurso que se te ocurra, el fin es que lo expliques de manera clara y entendible.
Recuerda; el video debe cumplir con los siguientes requisitos:
• Aparecer en el video.
• Mencionar brevemente el nombre completo, matrícula, materia y oportunidad.
• Portar vestimenta formal.
• Utilizar un lenguaje adecuado y cuidar que la dicción sea clara y pausada.
• El audio debe ser claro, volumen adecuado y sin interrupciones auditivas.
• Claridad de imagen, bien definida y luz suficiente.
• Duración de 4 minutos.
Nota: Al finalizar, se deberá añadir el enlace en el documento.
Para elaborar el video puedes hacer uso de aplicaciones para video presentaciones y screen recorder, a través de PC o dispositivos móviles.
• Bandicam

