Proyecto extraordinario
3ª Oportunidad
Ecuaciones diferenciales
Explicar las soluciones de ecuaciones diferenciales con el fin de resolverlas correctamente por un método indicado.
Realiza cada una de las fases y el vídeo de presentación.
Puedes acceder a ellas dando clic sobre el icono ✚
Después, guarda tu actividad en un documento de Power Point y sigue la siguiente estructura y recomendaciones para su entrega:
• Portada institucional
• Desarrollo (fases)
• Liga del vídeo
• Referencias en formato APA 7
Apégate al formato
de entrega de actividades.
Guardarás tu proyecto con la siguiente nomenclatura:
Proyecto (nombre de la materia) – Nombre y apellido del alumno- Oportunidad- Nivel de estudios
Ejemplo:
Ecuaciones diferenciales – Dariö Zven– 3a Oportunidad – Ingeniería
Nota: Es obligatorio
colocar en la referencia la URL de la página o PDF de donde obtienes la información para la realización de tu actividad, ya que se verificarán los enlaces. Si obtienes la información de algún libro, e-book, revista, etc., es necesario colocar una fotografía adicional en la sección de referencias para su validación.
Características de las funciones 
• Revisa las clases del módulo sugerido
del contenido de tu curso antes de empezar el desarrollo de estas tres fases; complementa la información de fuentes confiables de la web y brinda crédito correctamente.
• Para conocer un poco más sobre las características de las funciones diseña una infografía donde abordes cada uno de los siguientes temas:
• Función par y ejemplo gráfico.
• Función impar y ejemplo gráfico.
• Función que no es par ni impar y ejemplo gráfico.
• Ejemplo de los tres tipos de funciones (fórmulas algebraicas) anteriores y el porqué de su inclusión.
• Periodo de funciones de una variable real.
Para su elaboración puedes utilizar cualquier software de tu elección, pero al finalizar deberás anexar el enlace en el apartado correspondiente.
Nota: Agrega ilustraciones que den sustento al contenido plasmado en tu infografía, no la satures de texto; ten en cuenta respetar la normativa APA 7 respecto a la inclusión de figuras y darle crédito a fuentes externas consultadas, de lo contrario se descontará puntaje a la calificación de esta fase.
Representación gráfica
• Visualiza el siguiente vídeo
: Funciones discontinuas en GeoGebra
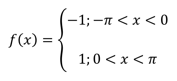
• Representa en GeoGebra el siguiente sistema de inecuaciones:
• Anexa en tu documento de Power Point la captura de la gráfica generada y su respectivo URL para poder corroborar su elaboración; recuerda respetar la normativa APA 7 en relación a la inclusión de figuras.
• En la siguiente dispositiva redacta en base a la gráfica si se tiene una función par, impar o ninguna de ellas. Justifica tu respuesta con algún autor que la defina, inserta una cita textual corta en formato APA y referéncialo en la sección correspondiente con URL para su consulta.
Cálculo de los coeficientes de una serie de Fourier 
• Una vez que identificaste si tenemos tenemos una función par, impar o ninguna de las anteriores, es hora de calcular sus coeficientes.
• En las dispositivas que consideres pertinentes elabora el desarrollo de los coeficientes según corresponda; es obligatorio hacer uso del editor e ecuaciones para darle formalidad y claridad a la entrega; otra opción es que lo hagas en tu libreta y anexes las imágenes correspondientes (en todo momento respetar la normativa APA 7 sobre la inclusión de figuras)
Nota: Si logras expresar la serie de Fourier, sus sumas parciales para n (según función par o impar) y su gráfica, obtendrás 10 puntos extras (en caso de que los necesites). Pista: La gráfica te deberá de quedar similar a esto.
Indicaciones generales
Elabora una video presentación
de manera formal, donde expliques la presentación realizada en cada una de las fases solicitadas.
Recuerda; el video debe cumplir con los siguientes requisitos:
• Aparecer en el video.
• Mencionar brevemente el nombre completo, matrícula, materia y oportunidad.
• Portar vestimenta formal.
• Utilizar un lenguaje adecuado y cuidar que la dicción sea clara y pausada.
• El audio debe ser claro, volumen adecuado y sin interrupciones auditivas.
• Claridad de imagen, bien definida y luz suficiente.
• Duración de 5 minutos.
Nota: Al finalizar, se deberá añadir el enlace en el documento.
Para elaborar el video puedes hacer uso de aplicaciones para video presentaciones y screen recorder, a través de PC o dispositivos móviles.
• Bandicam


